פרק 2 - תנאי שפה
בפרק 2 של הקורס שדות אלקטרומגנטיים נגדיר תנאי שפה, כדי להתמודד עם בעיית אי - הרציפות שמאפיינת בעיות מסוימות.
מבוא
בפרק הקודם, הנחנו שכל השדות שנעבוד איתם הינם רציפים וגזירים, וזאת כדי לקבל קשר בין שדות למקורות בסביבה כלשהי של נקודה. ראינו כי ניתן לתאר את הקשר באופן המתמטי הבא:כך ש הינו אופרטור דיפרנציאלי כלשהו. קשרים דיפרנציאליים אלו ייאפשרו לנו לפתור את השדות במגוון רחב של בעיות, ללא צורך בהנחת סימטריה גבוהה.
עם זאת, בטבע קיימות תופעות רבות שאינן רציפות, ולכן נרצה לתאר גם אותן באופן מתמטי. תופעות אלו מתרחשות פעמים רבות באיזורים שמהווים "שפה" בין שני תחומים בעלי תכונות שונות, ונרצה לתאר את "תנאי השפה" עבור השדות, אותם נצרף למשוואות הדיפרנציאליות שקיבלנו.
בדומה לפרק הקודם, אנו נבצע לוקליזציה למרחב, אך נתחשב גם בנקודות אי רציפות.
לוקליזציה סביב שפה - חוקי גאוס
נתון משטח כלשהו עליו יכול להיות מטען שצפיפותו המשטחית . השדה החשמלי, וצפיפות המטען הנפחית, עשויים להיות לא רציפים משני צידי המשטח. נרצה לראות כיצד נראה מתנהג השדה החשמלי, מעל ומתחת למשטח.
כרגיל, נבנה מעטפת גאוסית ברדיוס , וגובה . ראו תרשים 1.

נניח כי
מתחת המשטח S קיים שדה חשמלי עם צפיפות מטען
מעל למשטח S קיים שדה חשמל עם צפיפות מטען .
כעת, נחשב את השטף דרך הבסיס העליון של הגליל (S1), הבסיס התחתון שלו (S2), ומעטפת הגליל (S3), ונציב את התוצאה בחוק גאוס
נפעיל את אגף שמאל של חוק גאוס על אחד מהמשטחים S1,S2,S3: החישובים באגף ימין מניחים שהמעטפת הגלילית כולה קטנה מאוד, ולכן ניתן להניח בקירוב שעל "מכסי" הגליל (משטחים ) ניתן להניח שהשדה החשמלי קבוע בקירוב. הפונקציה F היא פונקציה סופית כלשהי של השדות, הנובעת מאינטגרציה על היקף המעטפת (משטח . כעת, סכום כל התרומות הינו
כאשר, מההנחה כי נסיק כי ניתן להזניח את תרומת S3 (כלומר ).
סה"כ עד כה קיבלנו שתרומת אגף שמאל של חוק גאוס הינה:
נמשיך עם אגף ימין של חוק גאוס (). המטען שכלוא במעטפת הגליל כולל את צפיפות המטען המשטחית , ואת צפיפויות המטען הנפחיות
כאשר תוצאת האינטגרציה על הצפיפויות הנפחיות מתוארת על ידי פונקציה כללית כלשהי, . גם פה נזניח את תרומת הצפיפויות הנפחות מהטיעון של . לכן תרומת אגף ימין של חוק גאוס הינה
.
כעת, אם נשווה את שני האגפים, נקבל:
ואחרי חלוקה ב , נקבל:
כאשר:
- - צפיפות המטען של משטח אי הרציפות.
- - נורמל למשטח אי הרציפות.
- - השדה בתחום שאליו פונה .
נשים לב כי כל עוד ישנה קפיצה לא רציפה ברכיב השדה החשמלי הניצב.
לוקליזציה של חוק גאוס עבור שדה מגנטי
ניתן לבצע את אותו התהליך, גם עבור השדה המגנטי ( חוג גאוס המגנטי: ), שלאחריו נקבל:
כאשר:
- - צפיפות המטען של משטח אי הרציפות
- - נורמל למשטח אי הרציפות
- - השדה בתחום שאליו פונה .
נשיב לב, שבניגוד לתוצאה הקודמת (עבוד השדה החשמלי), קיבלנו כי אגף שמאל מתאפס. תוצאה זו לא אמור להפתיע אותנו, שכן לא קיימים מונופולים מגנטיים בטבע.
ניתן להסיק מכך, כי רכיב השדה המגנטי הניצב לשפה בהכרח רציף ().
לוקליזציה סביב שפה - חוק אמפר
עד כה, השתמשנו בחוקי גאוס כדי למצוא קשר על השדה בין רכיבי השדה החשמלי והמגנטי הניצבים לפני המשטח, כעת נשתמש בחוק אמפר על מנת למצוא קשר בין הרכיבים המשיקים למשטח של השדה המגנטי.
נתון לנו משטח כלשהו, עליו זורם זרם בעל צפיפות משטחית . (תרשים 2)

נבנה לולאת אמפר - לולאה מלבנית עם גובה ואורך ' ונניח כי
בנוסף, נניח כי השדות מתחת למשטח הינם
ומעל למשטח
נרשום את חוק אמפר
כאשר האיבר נופל, כי הוא פרופורציוני ל .
נתחיל מאגף שמאל. בגלל ההנחה כי
נזניח את תרומת הצלעות הקצרות () של הלולאה, ולכן נקבל
.
אגף ימין לאיבר קיימות שתי תרומות: תרומה מהזרם המשטחי, ותרומה נוספת מהזרם הנפחי.
באופן דומה למה שראינו בחוק גאוס, נקבל שתרומת הזרם הנפחי, וגם זרם ההעתקה פרופורציוניות ל-, ומאחר ומימד זה זניח ביחס לשאר המימדים הגאומטריים בבעיה, תרומה זו תהיה זניחה.
נמשיך לתרומת הזרם המשטחי כאשר הוא וקטור שמוכל במשטח וניצב לעקום שלאורכו מחושב האינטגרל (עקום בחיתוך בין המשטח שהלולאה האמפרית היא שפתו, ובין משטח אי הרציפות הנתון). המעבר האחרון נובע מזהות וקטורית
בסופו של דבר, נקבל
נשים לב, כי בניגוד למעטפת הגאוסית, כאן קיים חופש בחירה ללולאה האמפרית, כלומר כל עוד הנקודה, שסביבה אנו מבצעים את האינטגרציה, נמצאת במרכז הלולאה, מסלול האינטגרציה עצמו לא ישפיע על תנאי השפה שנקבל.
נסיק מכך, כי המשוואה מתקיימת תמיד, ללא תלות ב , ולכן
נכפול את המשוואה שקיבלנו, ב משמאל
כאשר המעבר השני נובע מהזהות הבאה:
ובמעבר האחרון איפסנו את האיבר מפני ש מוכל במשטח S, ו ניצב ל S.
בסופו של דבר, קיבלנו:
נסיק מכך, כי קיימת קפיצה ברכיב השדה המגנטי המקביל למשטח.
לוקליזציה סביב שפה - חוק פאראדיי
אם נבצע פיתוח דומה, עבור חוק פארדיי, נקבל את תנאי השפה הבא עבור הרכיב המקביל למשטח של השדה:
לוקליזציה סביב שפה - חוק שימור המטען
טיפול בחוק שימור מטען הינו דומה לטיפול שביצענו לתנאי השפה עם חוק גאוס. הגאומטריה זהה לזו המוצגת בתרשים 1, רק שכאן נצטרך להתחשב בצפיפות הזרם המשטחית () וגם צפיפות המטען המשטחית ().
נישאר עם ההנחה כי
משוואת שימור מטען
נתחיל מחישוב אגף שמאל. תרומת הזרם הנפחי
האיבר מייצג את סך הזרם היוצא דרך מעטפת הגליל, ללא המכסים. איבר זה הוא פרופורציונלי ל-, ומההנחה כי: ניתן להזניחו בגבול של מטעפת קטנה מאוד.
תרומת הזרם המשטחי:
כאשר הוא וקטור המוכל במשטח וניצב לעקום שלאורכו מחושב האינטגרל.
כעת, נמצא את תרומת אגף ימין. תרומת הצפיפות הנפחית:
תרומת הצפיפות המשטחית:
בסופו של דבר נקבל:
לאחר חלוקה ב :
כאשר האיבר השני מייצג את סך השטף שיוצא דרך העקום שנמצא במשטח אי - הרציפות. בדומה להגדרת הדיברגנץ התלת ממדי שראינו בהגדרת הדיברגנץ, איבר זה הוא למעשה דיברגנץ משטחי - דיברגנץ המוגדר עבור שדה המוכל במשטח מסוים, ולכן ניתן לרשום את חוק שימור המטען על ידי
תנאי שפה - סיכום
שדה חשמלי
הרכיב הניצב:
הרכיב המקביל:
שדה מגנטי
הרכיב הניצב:
הרכיב המקביל:
חוק שימור המטען
כאשר האיבר הוא דיברגנץ דו - מימדי.
אופרטור הדיברגנץ הדו - מימדי
באופן כללי, לא ניתן לרשום את אופרטור הדיברגנץ הדו-ממדי (או דיברגנץ משטחי) על ידי איפוס אחת הנגזרות באופרטור בדיברגנץ התלת ממדי ה"רגיל". דבר זה הוא אפשרי, רק אם היחס המטרי של הקורדינטה שאת הנגזרת לפיה אנו מאפסים הוא קבוע. במקרים פרטיים, אם המשטח שלנו הוא מישור, נגדיר:
אם המשטח שלנו הוא כדור, נגדיר:
דוגמאות
משטח טעון בצפיפות אחידה של מטען חשמלי
נתון משטח הטעון הצפיפות אחידה - .
אנו יודעים כי השדה החשמלי הינו:
נבין, כי קיימת אצלנו בעיית אי רציפות ב .
נפעיל את תנאי השפה של השדה החשמלי עבור החלק המאונך:
אכן קיבלנו את כצפוי.
משטח עליו זורם זרם משטחי בצפיפות אחידה
נתון משטח עליו זורם זרם משטחי בצפיפות אחידה .
השדה המגנטי בבעיה הינו:
נבדוק את תנאי השפה של השדה המגנטי המקביל:
משוואות מקסוול בתחום התדר
כאשר המקורות הם מקורות הרמוניים, גם השדות יהיו שדות הרמוניים. במקרה זה, נוח לתאר את הגדלים הפיסיקליים באמצעות הפאזורים שלהם דרך הקשר הבא
כלומר, השדות האלקטרומגנטיים יתוארו ע"י
תאור זה, של שדות במצב סינוסי מתמיד, שימושי במיוחד שכן במסגרתו ניתן "להחליף" את פעולת הנגזרת הזמנית בהכפלה פשוטה בגורם . שימוש בכלל זה, מאפשר לנו לכתוב את משוואות מקסוול ותנאי השפה עבור הפאזורים של השדות בצורה "מפושטת", עבור תדר בודד
| תנאי שפה | משוואה | |
|---|---|---|
| חוק פאראדיי | ||
| חוק אמפר | ||
| חוק גאוס חשמלי | ||
| חוק גאוס מגנטי | ||
| חוק שימור המטען |
כיצד משפיעים שדות על גופים המוכנסים לתוכם?
נניח שקיים גוף כלשהו. בתוך הגוף יש מטענים, חלקם חופשיים לנוע, חלקם חופשיים רק להסתובב, וחלקם מקובעים למקומם. נכניס את הגוף לתוך איזור בו שורר שדה חשמלי, ולכן נרצה לדעת איך נראה השדה החשמלי החדש. כפי שציינו בהנחות היסוד בפרק 1, בעקבות המעבר לאזור עם שדה חיצוני, המטענים זזים ומסתדרים מחדש, וסידור חדש זה מתאר את כל ההשפעה שיש לגוף על השדה במרחב. השדה החשמלי החדש יהיה סכום השדה החיצוני (בלי הגוף), עם השדה החשמלי הפנימי שנוצר ע"י המטענים בגוף:
חומר מוליך בשדה חשמלי
הגדרה - חומר מוליך הוא חומר שבו יש מטענים חשמליים, החופשיים לנוע לכל מקום בתוך החומר.
אנו יודעים כי הכוח הפועל על המטענים הינו
ולכן נבין, כי בהינתן ונפעיל שדה חשמלי חיצוני, המטענים בתוך החומר ימשיכו לזוז עד אשר .
נשים לב, כי כדי לקבל את התנאי הנ"ל, השדה החיצוני צריך להיות ניצב לשפת המוליך. השדה החשמלי בתוך המוליך, , ומחוצה לו, .ונשתמש בתנאי השפה עבור הרכיב המקביל של השדה החשמלי
במצב יציב (מצב שבו אין תנועת מטענים התוך המוליך) מתקיים בתוך המוליך:
נפעיל חוק גאוס:
לכן נבין, כי במצב יציב אין מטענים בתוך החומר, אלא רק על השפה שלו.
המודל לחומר מוליך - חוק אוהם
כאשר החומר אינו מוליך אידאלי, המודל הפשוט ביותר המתאר את הקשר בין השדה השורר בתוך החומר לצפיפות הזרם הוא חוק אוהם
כאשר היא המוליכות הסגולית, ויחידותיה הם: . משוואה זו היא הדוגמא הראשונה שאנו רואים בקורס ליחס חוקה - משוואה המגדירה קשר בין גדלים פיסיקליים בחומר. הקבוע הוא למעשה "פונקציית התמסורת" של החומר המגדירה את המוצא (זרם) בהנתן הכניסה (השדה המופעל בחומר). כאן היחס מתואר ע"י אופרטור לינארי בגרסתו הפשוטה ביותר האפשרית (פשוט הכפלה בקבוע) אך ברוב המקרים המציאותיים היחס הזה יתואר ע"י אופרטור לינארי כללי יותר, שיביא בחשבון תכונות שונות של החומר כגון הפסדים.
באופן כללי, המוליכות יכולה להיות מטריצה, שתבטא מצב שבו רכיב שדה בכיוון מסוים יכול גם ליצור זרם בכיוון אחר. בהמשך הקורס, כאשר נדבר בהרחבה על שדות בתוך חומרים, נתאר את העקרונות הפיסיקליים המובילים לחוק אוהם.
אם ניקח כדוגמה פיסת חומר גלילית בעל שטח חתך ואורך , ניתן לקשור בין חוק אום בחומר, ובין חוק אוהם המוכר מתורת המעגלים הוא
ולקבל את הקשר
גם במוליכים המקיימים את חוק אוהם, בסופו של דבר, במצב היציב, כל המטענים ייצברו על השפה משיקולים דומים. בתלות בתכונות החומר, תהליך זה לוקח זמן מסוים, וניתן לקבל הערכה לזמן זה. נציב את חוק אוהם בתוך חוק שימור המטען (הדיפרנציאלי) :
כאשר במעבר השני הנחנו כי הינו סקלר אחיד במרחב, והשתמשנו בחוק גאוס ().
נפתור את המד"ר ונקבל:
כאשר מוגדר להיות זמן הרלקסציה, או מהירות הדעיכה, ושווה ל:
עבור נחושת, למשל:
ולכן נסיק כי במוליכים "טובים", עם מוליכות גבוהה, הזמן שלוקח למערכת להגיע לשיווי משקל הינו קטן ביותר. טבלת מוליכויות של חומרים שונים ניתן למצוא כאן.
המודל לחומר מוליך - חוק אוהם - עירור סטטי
מהיכן מגיעה המשוואה ? על מנת לקבל אותה, עלינו להתחיל ממודל מיקרוסקופי של החומר, כלומר מודל המתאר (לפחות בקירוב כלשהו) את ההתנהגות של נושאי המטען בחומר תחת הפעלה של שדה חשמלי. המודל הפשוט ביותר נקרא מודל Drude (ע"ש הפיסיקאי Paul Drude), ומודל זה מניח שכאשר נושא מטען, או בפרט אלקטרון, נע בחומר, הוא חווה כוח "גרר" בעקבות ההתנגשויות ואינטראקציה שלו עם מרכיבי החומר האחרים, וכוח גרר זה ניתן לתאור פשוט כ , כאשר היא מהירות התנועה, ו- הוא מקדם חיכוך המאפיין את החומר. אם נכתוב כעת את החוק השני של ניוטון עבור אלקטרון בחומר, נקבל כאשר היא מסת האלקטרון (בפועל זו לא בד"כ לא המסה המלאה, אלא גודל שנקרא "מסה אפקטיבית", אבל נניח לזה כרגע). נניח כעת שהשדה החשמלי קבוע בזמן, ונחפש פתרון סטטי לבעיה, כלומר פתרון שבו . נקבל מהירות זו נקראת מהירות הסחיפה, ומסומנת בגודל (גודלה תלוי בשדה כמובן, אך גדלים אופייניים במעגלים חשמליים הם בסדר גודל של מ"מ או ס"מ לשניה). מתוך גודל זה, ניתן להשתמש בהגדרת הזרם ולקבל את צפיפות הזרם בחומר. כבר הנחנו כי נושאי המטעם הם אלקטרונים בעלי מטען , וכעת נניח גם את צפיפותם בחומר (היחידות של הן - נושאי מטען ליחידת נפח) נקבל וקיבלנו בדיוק את חוק אוהם! צפיפות הזרם בחומר פרופורציונלית לשדה החשמלי, וקבוע הפרופורציה הוא הקבוע אותו אנו מגדירים כמוליכות הסגולית של החומר
המודל לחומר מוליך - חוק אוהם - עירור הרמוני
מה קורה כאשר נחרוג מהתנאים הסטטיים, ונעורר את נושאי המטען בחומר המוליך באמצעות שדה המשתנה בזמן באופן סינוסואידלי?
במצב כזה, נוכל לחזור למשוואת התנועה ולייצג את כל הגדלים באמצעות הפאזורים שלהם
במשוואה זו כבר השתמשנו בעובדה שנגזרת זמנית בייצוג פאזורי מתורגמת להכפלה ב-. מכאן ניתן לחלץ בפשטות את פאזור המהירות ולקבל
ובאותו אופן שבו זה נעשה במקרה הסטטי, לעבור לצפיפות זרם (ליתר דיוק לפאזור של צפיפות הזרם)
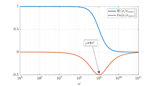
כאשר הגדרנו את הקבוע המייצג את זמן הדעיכה האופייני של הזרם בחומר. נשים לב כי המוליכות שהתקבלה, היא מוליכות עבור רכיב תדר בודד, בתדר . אם אות הכניסה (או השדה המופעל בחומר) יכיל יותר מרכיב תדר אחד, עלינו לחבר את ההשפעה של כל תדר עם ערך המוליכות המתאים לו.
מתוך דוגמא זו אנו רואים כי המוליכות היא ערך מרוכב שתלוי מפורשות בתדר, וזו תכונה שתמיד תתקיים בכל מקדם יחס חוקה של חומר ונובעת משיקולי סיבתיות, ומהעובדה שתמיד יש הפסדים כלשהם בחומר (רק במקרה של חומר חסר הפסדים לחלוטין, נוכל לקבל יחס חוקה ממשי וקבוע בתדר, אבל זה קירוב סביר עבור הרבה מערכות).

מוליך מול מוליך אידאלי (PEC=Perfect Electric Conductor)
מוליך אידאלי הוא חומר שבו . לפיכך, אין בתוכו שדות בכלל: לא שדה חשמלי (מאחר וזמן הרלקסציה הוא אפסי, זה תמיד המצב בו), ולא מגנטי (הנימוק לכך אינו קלאסי, ונקרא אפקט Meisner). לפיכך, לא יהיה בו גם זרם חשמלי נפחי (אולם ייתכן זרם חשמלי על השפה של המוליך), וגם לא צפיפות מטען נפחית.
השוואת התכונות של מוליך אידאלי ומוליך בעל מוליכות סופית
| תכונות | מוליך אידאלי | מוליך רגיל |
|---|---|---|
| האם קיים על שפת המוליך? | כן, יש זרם רק על השפה. | לא, עבור השפה
|
| תנאי שפה - רכיב ניצב של השדה החשמלי | אין בתוכו שדה, ולכן:
|
אין הגבלה |
| תנאי שפה - רכיב משיקי של השדה החשמלי | אין בתוכו שדה, לכן:
כלומר, השדה ניצב לשפה |
אין הגבלה |
| תנאי שפה - שימור מטען | .
בבעיה סטטית, בה אין שינויים בזמן, נקבל , ולכן הזרם חייב להיות מקביל לשפה. |
סיכום תנאי שפה על מוליך מושלם (PEC)